调节特性的分析,都是以最大流量为基准的,但通常以设计流量为基准,来分析调节阀的调节特性。由于以下原因,设计流量往往不等于系统的最大流量。
(1)设备选型过大
调节阀设计选型过程中,要对流量和压力进行理论计算。因只有标准型号的调节阀,有时很难找到在设计压力降下能够达到设计流量下的调节阀。
(2)资用压头变化
由于变流量运行,系统集中调节和用户局部调节都会使末端环路的资用压头发生变化,导致末端设备流量发生变化。
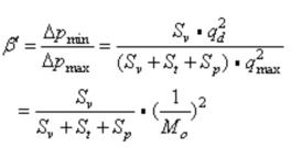
因此,引入实际阀权度β′的概念来分析两通阀的实际调节特性。实际阀权度β′指在设计流量下,调节阀全开时消耗的压力降与调节阀关闭时消耗压力降之比,其计算见式: 
式中:qd— 设计流量,m3/s;
qmax— 末端环路最大流量,m3/s;
Mo— 过流系数。
理论阀权度β和实际阀权度β’之间的关系可以用式来表示
β=β′Mo2
当最大流量等于设计流量时,β等于β′。等百分比特性两通调节阀的实际调节特性见图。
